بهترین و جدیدترین ویدئو های روز

پخش ویدئو بعدی ... {{ next_video.title }}
[توقف]

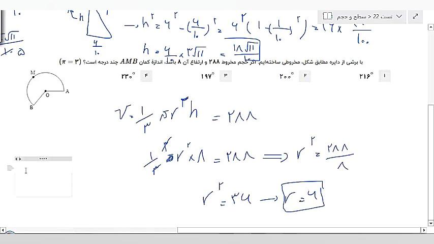
تدریس هندسه نهم دبیرستان رستگاران توسط استاد ابراهیم خانی فصل سطح و حجم مبحث‌ دایره قسمت ۲

0.06 sec, flt: 0 time: 13, count: 11, slow: 0