ویدبید
برچسب
درباره ما
برچسب ها
دسته بندی ها
بهترین و جدیدترین ویدئو های روز
ویديو های مربوط به dars
6
برچسب های مرتبط
kelas
kelasedars
12:02
بردارها ۱۶ ویژگی های ضرب داخلی‌ ۳
5 سال پیش
13:13
بردارها ۱۴ ویژگی های ضرب داخلی ۲
5 سال پیش
12:02
بردارها ۱۲ ویژگی های ضرب داخلی ۱
5 سال پیش
07:21
بردارها ۱۵ مثال از ضرب داخلی
5 سال پیش
09:33
بردارها ۱۱ ضرب داخلی
5 سال پیش
05:48
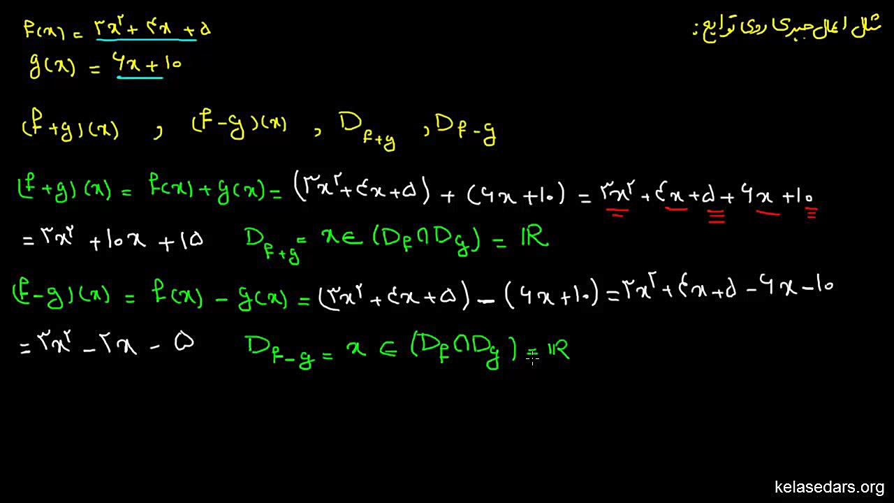
تابع ریاضی۲۲ مثال از جمع و تفریق توابع
5 سال پیش
ویدبید
صفحه اصلی
تماشای سریال
مطالب داغ
دسته بندی
طنز
سرگرمی
فیلم
آموزشی
ورزشی
مشاهده همه دسته بندی ها
برچسب ها
کارتون
طنز
برنامه کودک
سرگرمی
انیمیشن
فیلم
بانوان کودک
کودک
مشاهده همه برچسب ها
0.04 sec, flt: 0
time: 10, count: 11, slow: 0