ویدبید
برچسب
درباره ما
برچسب ها
دسته بندی ها
بهترین و جدیدترین ویدئو های روز
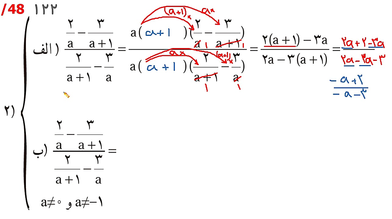
ویديو های مربوط به معرفی و محاسبه کسرهای مرکب
5
برچسب های مرتبط
فصل 07
ریاضی نهم
تدریس صفحه 122
قسمت 04
تدریس صفحه 121
قسمت 02
قسمت 01
قسمت 03
04:13
ریاضی نهم تدریس صفحه 119 تا 123 قسمت 09 ارائه : مجید بقایری
3 سال پیش
04:23
ریاضی نهم تدریس صفحه 119 تا 123 قسمت 13 ارائه : مجید بقایری
3 سال پیش
04:12
ریاضی نهم تدریس صفحه 119 تا 123 قسمت 10 ارائه : مجید بقایری
3 سال پیش
04:04
ریاضی نهم تدریس صفحه 119 تا 123 قسمت 11 ارائه : مجید بقایری
3 سال پیش
06:38
ریاضی نهم تدریس صفحه 119 تا 123 قسمت 14 ارائه : مجید بقایری
3 سال پیش
ویدبید
صفحه اصلی
تماشای سریال
مطالب داغ
دسته بندی
طنز
سرگرمی
فیلم
آموزشی
ورزشی
مشاهده همه دسته بندی ها
برچسب ها
کارتون
طنز
برنامه کودک
سرگرمی
انیمیشن
فیلم
بانوان کودک
کودک
مشاهده همه برچسب ها
0.05 sec, flt: 0
time: 12, count: 10, slow: 0