ویديو های مربوط به مثلثات (صفحه 2) 35
برچسب های مرتبط
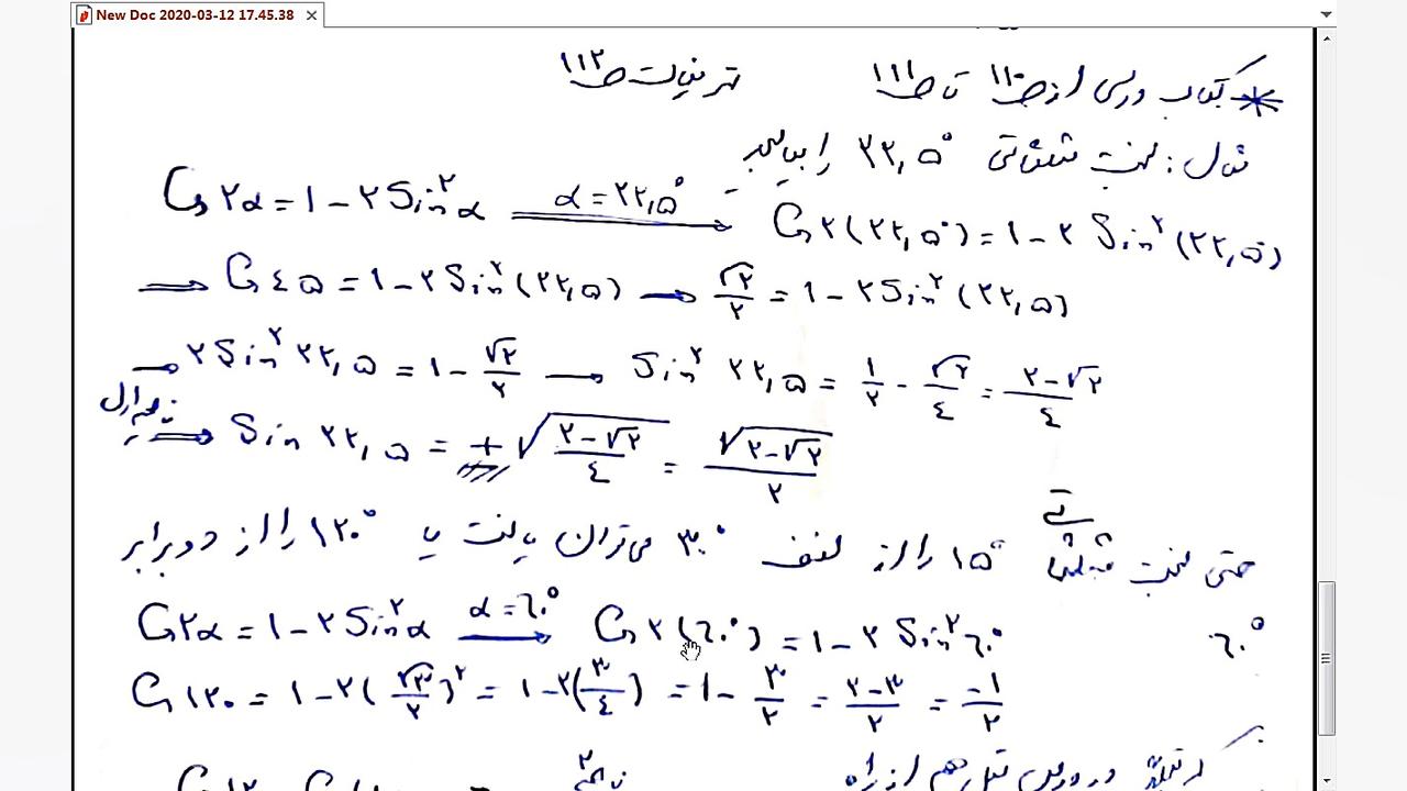
ریاضی دهم
نسبت های مثلثاتی
استاد برازنده
دبیرستان جماران
ریاضی 2
حسابان
مجتمع علامه طباطبایی
پایه یازدهم
آموزش حسابان
محسن غلامی
آموزش ریاضی
ریاضی
دبیرستان نمونه دولتی ام...
حسابان یازدهم
دبیرستان نمونه دولتی ام
پیشرفته
ریاضی یازدهم
بقیه الله
مجتمع آموزشی بقیه الله
اکبرزاده
ریاضی مهندسی
اعداد مختلط
توابع مختلط
علیرضا معماریان
آموزش ریاضی دهم
- « صفحه قبلی
- صفحه اول
- صفحه بعدی »
ویدبید