ویدبید
برچسب
درباره ما
برچسب ها
دسته بندی ها
بهترین و جدیدترین ویدئو های روز
ویديو های مربوط به قسمت 04
6
برچسب های مرتبط
ریاضی نهم
فصل 07
معرفی و محاسبه کسرهای م...
فصل 0
هندسه و استدلال
تدریس صفحه 41
مقایسه اعداد گویا و نما...
تدریس صفحه 21
تدریس صفحه 122
تدریس صفحه 121
جمع و تفریق عبارات گویا
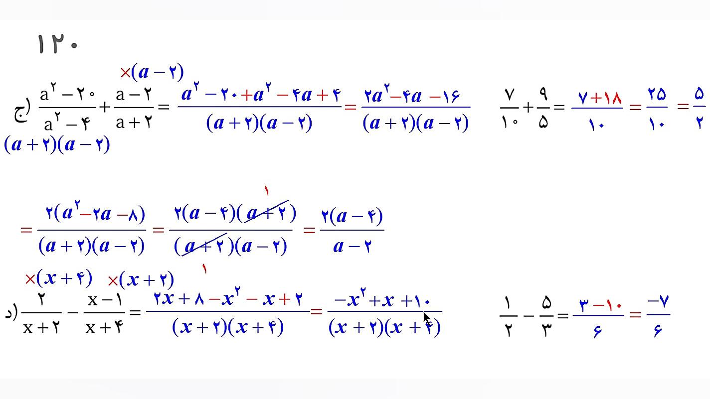
تدریس صفحه 120
فصل 08
معرفی هرم منتظم
تدریس صفحه 135
04:00
ریاضی نهم تدریس صفحه 135 قسمت 04 ارائه : مجید بقایری
3 سال پیش
06:56
ریاضی نهم تدریس صفحه 119 تا 123 قسمت 06 ارائه : مجید بقایری
3 سال پیش
04:23
ریاضی نهم تدریس صفحه 119 تا 123 قسمت 13 ارائه : مجید بقایری
3 سال پیش
06:38
ریاضی نهم تدریس صفحه 119 تا 123 قسمت 14 ارائه : مجید بقایری
3 سال پیش
02:26
ریاضی نهم تدریس صفحه 21 قسمت 04 ارائه : مجید بقایری
3 سال پیش
02:30
ریاضی نهم تدریس صفحه 41 قسمت 04 ارائه : مجید بقایری
3 سال پیش
ویدبید
صفحه اصلی
تماشای سریال
مطالب داغ
دسته بندی
طنز
سرگرمی
فیلم
آموزشی
ورزشی
مشاهده همه دسته بندی ها
برچسب ها
کارتون
طنز
برنامه کودک
سرگرمی
انیمیشن
فیلم
بانوان کودک
کودک
مشاهده همه برچسب ها
0.04 sec, flt: 0
time: 10, count: 11, slow: 0