ویديو های مربوط به قسمت 03 10
برچسب های مرتبط
ریاضی نهم
فصل 07
فصل 08
فصل 05
فصل 3 هندسه و استدلال
تدریس صفحه 33 و 34 و 35
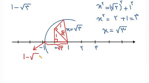
نمایش اعداد گنگ رو محور
اعداد حقیقی و اعداد گنگ
تدریس صفحه 24
مقایسه اعداد گویا و نما...
تدریس صفحه 21
فصل 03
هندسه و استدلال
تدریس صفحه 41
معرفی عبارات جبری و مرو...
تدریس صفحه 79
معرفی و محاسبه کسرهای م...
تدریس صفحه 121
جمع و تفریق عبارات گویا
تدریس صفحه 120
محاسبه سطح کل هرم
تدریس صفحه 140
معرفی هرم و جزئیات آن
تدریس صفحه 135
فصل 04
ویدبید