ویديو های مربوط به عبارت های گویا 21
             برچسب های مرتبط 
                                                            
                        ریاضی نهم
                    
                                                                
                        ریاضی
                    
                                                                
                        فصل ۷
                    
                                                                
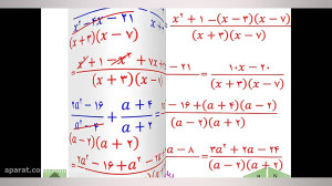
                        عبارت گویا
                    
                                                                
                        نهم
                    
                                                                
                        تدریس ریاضی
                    
                                                                
                        ریاضی پایه نهم
                    
                                                                
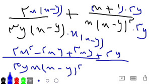
                        جمع و تفریق عبارت های گ
                    
                                                                
                        تقسیم چند جمله ای روش ه...
                    
                                                                
                        تقسیم چند جمله ای
                    
                                                                
                        محاسبات عبارت های گویا
                    
                                                                
                        مسایل
                    
                                                                
                        عبارت
                    
                                                                
                        تمرین
                    
                                                                
                        روان
                    
                                                                
                        مسائل
                    
                                                                                            
                        عبارت های جبری
                    
                                                                
                        ریاضی نهم فصل 7
                    
                                                                
                        ساده کردن کسر
                    
                                                                
                        آموزش ریاضی 9
                    
                                                                
                        اموزش ریاضی
                    
                                                                
                        ضرب و تقسیم کسر
                    
                                                                
                        ریاضی 9
                    
                                                                
                        آمورش
                    
                                    
        
        
        
        
     
             
                             
                             
                             
                             
                             
                             
                             
                             
                             
                             
                             
                             
                             
                             
                             
                             
                             
                             
                             
                             
                             ویدبید
ویدبید