ویدبید
برچسب
درباره ما
برچسب ها
دسته بندی ها
بهترین و جدیدترین ویدئو های روز
ویديو های مربوط به ساناز عباسی
3
برچسب های مرتبط
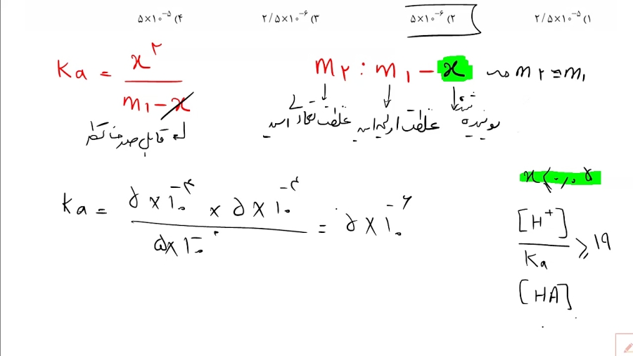
شیمی 3
ترک 16
رفع اشکال
شیمی۳
فصل ۴
57:44
فصل 4
3 سال پیش
04:50
سوال 39 کتاب خیلی سبز فصل دوم
5 سال پیش
34:31
12 تجربی 1 پارت 1 13 مهر
5 سال پیش
ویدبید
صفحه اصلی
تماشای سریال
مطالب داغ
دسته بندی
طنز
سرگرمی
فیلم
آموزشی
ورزشی
مشاهده همه دسته بندی ها
برچسب ها
کارتون
طنز
برنامه کودک
سرگرمی
انیمیشن
فیلم
بانوان کودک
کودک
مشاهده همه برچسب ها
0.09 sec, flt: 0
time: 22, count: 8, slow: 0