ویدبید
برچسب
درباره ما
برچسب ها
دسته بندی ها
بهترین و جدیدترین ویدئو های روز
ویديو های مربوط به ریاضی عمومی ۲
3
برچسب های مرتبط
دانشگاه صنعتی شریف
حل تمرین
دانشگاه یزد
سری توانی
دکتر سعید علیخانی
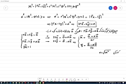
توابع برداری
انحنا
20:19
ریاضیات پایه ۱۷۳- توابع برداری- انحنا
4 سال پیش
10:00
حل چند مساله سریهای توانی قسمت 1
5 سال پیش
01:45:08
05 حل تمرین بردارها قسمت دوم
5 سال پیش
ویدبید
صفحه اصلی
تماشای سریال
مطالب داغ
دسته بندی
طنز
سرگرمی
فیلم
آموزشی
ورزشی
مشاهده همه دسته بندی ها
برچسب ها
کارتون
طنز
برنامه کودک
سرگرمی
انیمیشن
فیلم
بانوان کودک
کودک
مشاهده همه برچسب ها
0.04 sec, flt: 0
time: 7, count: 8, slow: 0