ویديو های مربوط به بیضی (صفحه 1) 29
برچسب های مرتبط
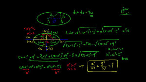
مقاطع مخروطی
مخروطی
مقاطع
ریاضی
هندسه
ریاضی تجربی
ریاضی کنکور
پایه دوازدهم
هندسه کنکور
دایره
سهمی
نکات بیض
خلاصه ن
نکات بیضی
خلاصه نکات
گچبری
گچبری _ آموزش گچبری
گچبری _ آموزش ساخت پر
پرگار بیضی زن
نحوه ساخت پرگار بیضی
پرگار بیضی
آموزش ساخت پرگار بیضی
فیلم آموزش ریاضی
ریاضی دوازدهم
محمدی
- « صفحه قبلی
- صفحه بعدی »
ویدبید